3 views
Polar Integration
by Rusty Curry
10 views
Average Value of a Function
23 views
L'Hopital's Rule
8 views
Limits Sin Theta Over Theta
1 view
14 views
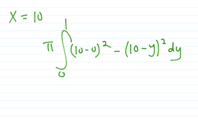
Volume Setups 3 Regions
6 views
Double Series
27 views
Volume Practice #1
15 views
Differential Equations Part 3
11 views
Differential Equations Part 2
Differential Equations Part 1
16 views
2002 AB Form B #1
Rotating A Function Around An Axis