1 view
Quadratic Techniques To Solve Polynomial Equations
by Bryan Braack
Roots and Zeros of Polynomial Functions
Finding Zeros Of Polynomial Functions Using The Rational Zero Theorem
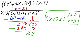
Long Division Of Polynomials
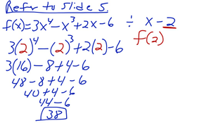
Dividing Polynomials - Remainder & Factor Theorems
2 views
Polynomial Functions
Conic Sections - Parabolas
94 views
Complex Numbers
Simplifying Radical Expressions
42 views
Vertex and Axis of Symmetry of Quadratic Equations
4 views
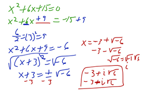
Completing The Square And Vertex Form
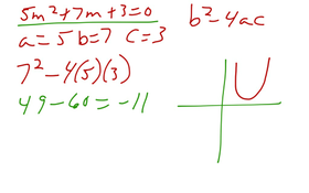
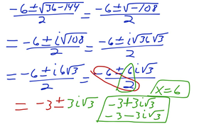
Quadratic Formula and the Discriminant
21 views
Completing The Square
3 views
Graphing Linear Inequalities
Solving And Graphing Absolute Value Inequalities On A Number Line
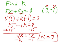
Writing Linear Equations
Slope - 2 Pts., Parallel, Perpendicular
223 views
Graphing Systems Of Inequalities