28 views
PY 112 PE 3.2 Problem 4
by Eric Martell
87 views
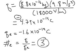
PY112PE3.2Problem 3/PY152PE3.1Problem 2
40 views
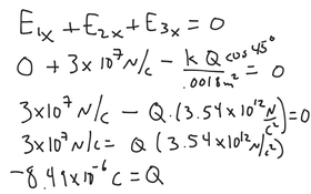
PY 112 PE 3.2 Problem 2
33 views
PY 112 PE 3.2 Problem 1
32 views
PY 112 Practice Exam 2.2 Problem 4
41 views
PY 112 Practice Exam 2.2 Problem 2
46 views
PY 112 Practice Exam 2.2 Problem 1
30 views
PY 112 Practice Exam 2.1 Problem 4
66 views
PY 112 Practice Exam 2.1 Problem 2
10 views
PY 112 Exam 1 Problem 3
13 views
PY 112 Exam 1 Problem 4
9 views
17 views
PY 112 Exam 1 Problem 2
48 views
Exam I Problem I