28 views
Simplifying Algebraic Expressions
by Miranda Mundy
17 views
Variables And Expressions
9 views
Order of Operations
23 views
Scientific Notation
71 views
Exponents
43 views
Patterns
5 views
Interpreting Translations
4 views
Probability Review
Benchmark 19 Review
0 views
Theoretical Probability
Sample Spaces
1 view
Experimental probability
Probability
Slopes And Rates Of Change
Graphing Linear Functions
Sequences
Functions, Tables, And Graphs
Interpreting Graphs
7 views
The Coordinate Grid
Benchmark 12
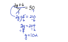
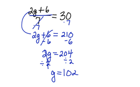
Solving Multistep Equations And Inequalities
8 views
3 views
Solving Inequalities By multiplying Or Dividing