93 views
Geometry Ch 8 Test Rev #12
by Rhonda Willis
78 views
Geometry Ch 8 Test Rev #11
123 views
Geometry Ch 8 Test Rev #10
75 views
Geometry Ch 8 Test Rev #9
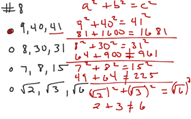
60 views
Geometry Ch 8 Test Rev #8
131 views
Geometry Ch 8 Test Rev #7
81 views
Geometry Ch 8 Test Rev #6
153 views
Geometry Ch 8 Test Rev #5
91 views
Geometry Ch 8 Test Rev #4
112 views
Geometry Ch 8 Test Rev #3
83 views
Geometry Ch 8 Test Rev #2
8 views
Alg 1 Lesson 7-6
14 views
Geometry Lesson 7-1 Notes
9 views
Alg 2 Lesson 8-1 (Day 2)
61 views
Alg 1 Lesson 7-4
Alg 2 Lesson 8-1 (Day 2) Notes