111 views
Algebra 2 Lessons 8-3-8-4 Asymptotes
by Haven Clayton
12 views
Pascal's Triangle
3 views
Absolute Max And Min
13 views
Lesson10-4 Algebra 2
Derivatives
33 views
Honors Algebra 2 Hyperbolas
97 views
Algebra 2 Lesson 8-6
18 views
Review-parabolas, Circles, Ellipses
17 views
Lesson 8-5 Variation Functions
44 views
Solving Log Equations With Common logs
Logarithms And Compound Interest
1 view
Common Logs And natural Logs
4 views
Logarithmic Equations
7 views
Radical Inequalities
2 views
Exponential Growth/decay
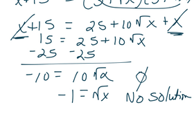
Solving Radical Equations