21 views
Review Trig. Identities Homework Solutions
by Angela Miller
99 views
Rationalizing The Denominator Day 1
28 views
Review Of Mixed Review Homework
81 views
Trig Identifies Workheet #2
290 views
Add Subtract Radicals Day 2
47 views
Homework Solutions For Trig Expressions 1-8
90 views
Trig Expressions
531 views
Adding Radicals Day 1
0 views
Composition Of Functions With Variables
300 views
Multiply Radicals
86 views
Composition Of Trig Functions Day 2
559 views
Simplify Radicals That Are Not Perfect Squares
59 views
Inverse Trig Compositions
Inverse Trig Function Discovery
73 views
Review Intro Polynomials
78 views
Writing Trig Equations From A Graph
534 views
Adding & Subtract Polynomials
10 views
Hw 9.3 47;49
1119 views
Intro To Polynomials
34 views
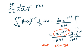
9.3 Integral Test And Pseries Notes
51 views
Rational Inequalities
19 views
Exponential Functions Differentiation
2 views
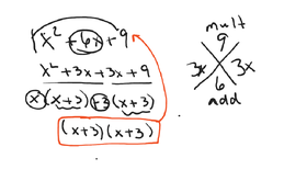
factoring a trinomial