32 views
Log Simplify, Inverse, Graph
by Roy Lobdell
24 views
GCF & DOTS
1 view
Practice Quiz
2 views
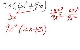
Intro To Factoring GCF
65 views
Intro To GCF & DOTS
0 views
Exponential Shifts
9 views
Pretest2/22 P4
6 views
Pretest For 2/22 Top Of Back Page
Pretest For 2/22 P 1
13 views
Distribution Of Polynomials
25 views
Pretest 2/5 Part 3
29 views
Pretest 2/5 Part2
Cube Binomials & Mult Trinomials
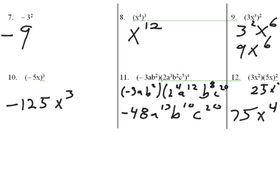
Rules Of Exp P2
3 views
Solve Rational Exp Equations
Pg 453 30, 34 And 50
17 views
Rules Of Exp Pg 453