26 views
More Adding And Subtracting Decimals - Base Ten Blocks
by Tyler Steketee
28 views
Adding And Subtracting Decimals - Base Ten Blocks
15 views
Interpreting Base Ten Blocks As Decimals
10 views
Division Of Whole Numbers - Expanded Notation
13 views
Division Of Whole Numbers - Rectangular Sections
17 views
Division Of Whole Numbers - Base Ten Blocks
20 views
Multiplication Of Whole Numbers - Area Model
27 views
Multiplication Of Whole numbers - Rectangular Sections
23 views
Multiplication Of Whole Numbers- Standard Algorithm
Math Introduction
14 views
Dividing Whole # By Fraction
16 views
Debate Writing Guidelines Introduction
19 views
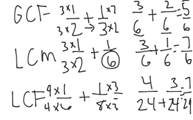
Finding Common Denominators
5 views
Common Denominators
31 views
Fraction Circles
Area Model W/ Mixed Numbers
Area Model To Multiply Mixed Numbers
54 views
Number line