262 views
Chapter 5 Review #4d
by Joe Orr
239 views
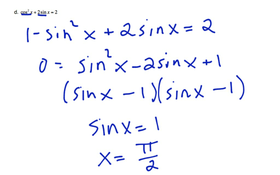
Chapter 5 Review #4c
254 views
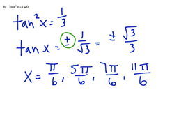
Chapter 5 Review #4b
240 views
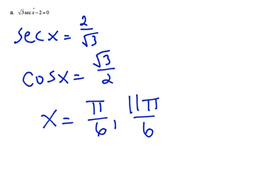
Chapter 5 Review #4a
307 views
Chapter 5 Review #3
199 views
Chapter 5 Review #2c
277 views
Chapter 5 Review #2b
301 views
Chapter 5 Review #2a
202 views
Chapter 5 Review #1b
219 views
Chapter 5 Review #1a
165 views
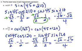
Math Analysis Chapter 4 Review #3
158 views
Math Analysis Chapter 4 Review #4
179 views
Math Analysis Chapter 4 Review #5
220 views
Math Analysis Chapter 4 Review #7a
Math Analysis Chapter 4 Review #7b
192 views
Math Analysis Chapter 4 Review #7c
169 views
Math Analysis Chapter 4 Review #7d
157 views
Math Analysis Chapter 4 Review #7e
269 views
Math Analysis Chapter 4 Review #8
171 views
Math Analysis Chapter 4 Review #9
208 views
Math Analysis Chapter 4 Review #10
139 views
Math Analysis Chapter 4 Review #11
149 views
Math Analysis Chapter 4 Review #12
88 views
Unit 8 #9