2 views
Quadratic Inequalities - Less Than Intuitive Example
by Peggy Cole
78 views
Quadratic Inequalities - Another Way To Look At It
0 views
GCF and LCM
47 views
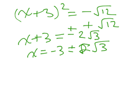
Completing The Square