2 views
15-1 Named By The Base Shape
by Jennifer Hedberg
0 views
15-1 Edges
15-1 Three Dimensions
15-1 Solid Figures
15-1 Pg 10
15- Redo
15-1 Pg9
15-1 Pg8
15-1 Pg7
1 view
15- 1 Pg5
15-1 Pg 4
15-1 Page 3
15-1 Page 2
15-1 Solids
Area Of A Triangle Practice
Area Of Triangle Ex3
Area Of A Triangle Ex 2
Area Of A Triangle Ex1
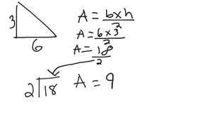
Area Of A Triangle
5 views
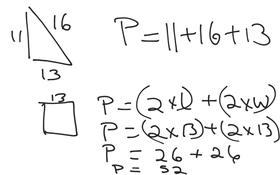
Perimeter
4 views
6 views
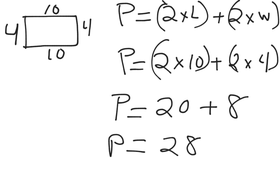
Perimeter Example
9 views
3 views
Main Idea Assignment