56 views
Approssimazione
by Andrea Ros
71 views
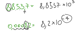
Notazione scientifica
75 views
Multipli e sottomultipli
61 views
Perimetro e area dei rettangoli