15 views
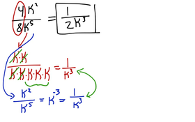
Exponents Properties Requiz #1
by Jacob Sproule
0 views
Solving Equations With Fractions
8 views
Solving Equations (what I'm Thinking)
25 views
103 views
Point Slope Form Revisited
151 views
Independent And Dependent Variables
Variables On Both Sides And Dist Prop
Xy Int Review
84 views
23 views
Beginning Solving Equations
116 views
Linear Inequalities Steps
38 views
Fraction Work
158 views
Point-slope To Slope Intercept
115 views
Slope
Checking Solutions And Graphing Linear Equations
10 views
Problem 6 Corrections Period 4
5 views
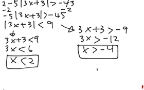
Absolute Value Problem Number 5
#2 Per 4
1 view
Problem #3 Sproule Period 4
101 views
Factoring Review Two
121 views
Factoring Review 1
Writing Linear Equations