87 views
Heat Transfer
by Mary Williams
82 views
Balancing Chemical Eq
81 views
Chem 9.1
86 views
Ps Ch 9.2
Polar Molecules
90 views
Polar Bonds
572 views
PS Ch 9. Kinetic Theory, Temp, Thermal En
83 views
#67 Pg 264
80 views
Molecular Shape
84 views
Ch18 #42
Ch18, 81
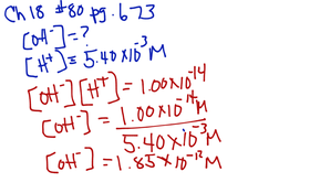
Ch18, #80
Ch17 #18,pg613
Ch15 #67
85 views
Ch 15 #93,94
72 views
Ch18 Neutralization
74 views
Ch14#76
93 views
Ch14#82
76 views
Ch17 #1
77 views
Ch16 #19,20
78 views
Ch15#46a
Ch15#12
ch15#4
Ch14#25