179 views
Corona Lesson 2 - Rational Exponents
by Joe Maher
211 views
Corona Lesson 1: Exponential Functions And Compound Interest
118 views
Using Synthetic Division
629 views
Factoring Four and Three Term Polynomials
360 views
Graphing Linear Inequalities With Two Variables
582 views
Factoring Quadratics
276 views
Solving Linear Inequalities
348 views
Expanding Logarithms
177 views
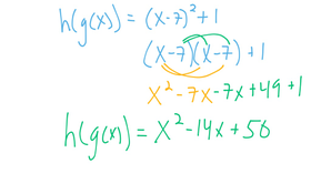
Composite Functions
631 views
Roots And Rational Exponents
43 views
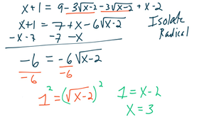
Solving Difficult Radical Equations
277 views
Rational Root Theorem
432 views
Rules Of Exponents
357 views
Graphing Simple Rational Functions
64 views
Factoring And Solving Polynomials With Three Terms
156 views
Solving Rational Equations
192 views
Using Properties of Rational Exponents
199 views
Rational Exponents And nth Roots
492 views
224 views
Writing Polynomial Functions Given Their Roots
109 views
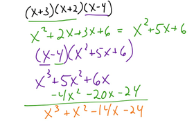
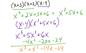
Adding/Subtracting/Multiplying Polynomials
493 views
Solving And Graphing Quadratic Inequalities
133 views
Intercept Form of quadratics
37 views
Graphing Calculator Help - Absolute Value Functions