0 views
_jh Math Page 6
by Jason Palmer
10 views
Trial
3 views
_01_ps_Observation
1 view
Trig Quadrants And Solving With Trig Id's
Trig Identities
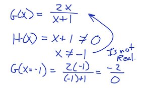
Domain Of 1/x
Domain And Range Composite Functions
2 views
Review Of Algebra 2.1 Video 1
Quadratic a,b,c Roots And Graphing
Completing The Square
6 views
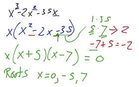
Factoring Quadratic Equation
Factoring Next Step Roots
Factoring Advanced
Factoring Perfect Squares
Factoring Recognizing The Signs
Quadratic Equation
Advanced Trinomials
Factoring Trinomials
Factoring Trinomial Part 2
Composition Function +Domain/Range
Composition Functions And Domain And Range
Alg 1.6.5 (2.1)
Alg 1.9.5Q 6
Alg 1.9.1Q11-14