2 views
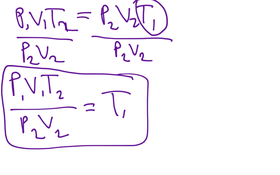
Clearing Fractions In An Equation
by Mary Daunis
34 views
Nested Grouping Symbols
6 views
Exam 1 Review
12 views
1.7#11
14 views
Multiplication And Addition Rules For Probability
Binomial Formula
15 views
Half Angle Or Difference Formula
Phase shift And Period Of Sinusoidal Function
19 views
Phase Shift And Period Sinusoidal Function
Sin Of Angle Given Tangent
13 views
Exact Values
Average Rate Of Change
11 views
44 views
Difference Quotient For A Linear Function
20 views
BridgetvWP1
4.4#45
283#79
17 views
3.4#7