42 views
Räkneregel och prioritering
by Sofiebergs Skolan
33 views
Trianglar
Vinklar
59 views
Division Med Minnessiffra
51 views
Division Med Rest
2 views
Bråk
14 views
En hel
19 views
Hur stor del är målad?
Olika slags delar
62 views
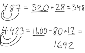
Kort division
40 views
Multiplikation och division hör ihop
27 views
Division
39 views
Multiplicera Mera
71 views
Multiplicera
6 views
Multiplicera Med 10, 100 och 1000