17 views
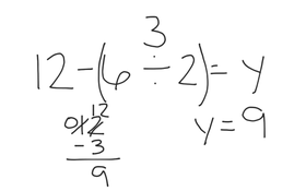
7.11 Order Of operations
by Kelli Burnard
20 views
5.3 Distributive Property With Large Numbers
42 views
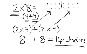
4.4 Distributive Property
10 views
Unit One Review
16 views
1.12 Using Model Drawings
12 views
1.11 Subtracting With Zeros
1.8 Subtracting W/number line
51 views
1.4 Addition Strategies
54 views
1.3 Estimating Sum/compatible Numbers
31 views
1.2 Rounding To 100's
Rounding To Tens
72 views
1.1 Patterns/addition Properties
11.4 Area/review Perimeter
26 views
10.5 Elapse Time Story Problems
10.3 Elapsed Time
19 views
10.1 Telling Time To The Min.
9.7 Equivalent Fractions W/ Grouping
53 views
9.7 Equivalent Fractions
9.6 Equivalent Fractions
11 views
9.5 Comparing And Ordering Fractions
66 views
9.4 Comparing Fractions
28 views
9.2 Comparing Fractions W/like Denominators
8.9 Find The Whole Group Using Fractions
258 views
8.7 Fractions Of A Group