0 views
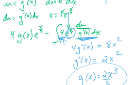
Integration By Parts
by Math Diehler
1 view
Average Value Function
20 views
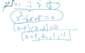
Rational Root Theorem And Solving Polynomials
37 views
Rational Roots And Solving
2 views
More Graph Analysis
Differential Eqn With General And Specific Soln
21 views
Division Polynomials
Concavity : Second Derivative