220 views
Inequalities Part I
by Amy Caruso
121 views
Translations II
168 views
Translations Part 1
151 views
Literal Equations Part 2
162 views
Literal Equations
73 views
Equation ( Easier)
89 views
Multistep Equations
11 views
Final Review #40-46
19 views
Final Review #37-39
48 views
Simplifying Radical Expressions
53 views
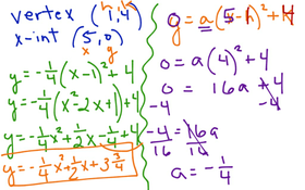
Writing Quadratic Equations Using Vertex Form
108 views
Vertex Form
0 views
Permutations And Combinations
24 views
Suggested Practice Week 12/10
13 views
Poly Geometry
43 views
Suggested Practice Part 4 (week Of 12/3)
38 views
Suggested Practice Part 3 (week Of 12/3)
287 views
Consecutive Integers
45 views
Suggested Practice 12/3 Part 1
92 views
Saucy Expos With Negative Exponents
82 views
More Expo Practice
208 views
Expo Review
78 views
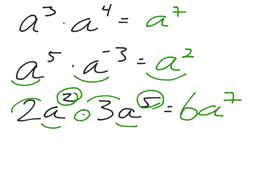
Expos part 1
80 views
Expos Part 1