34 views
Condensing Log Expressions
by Dina Pully
19 views
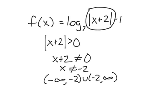
Domain Of A Log Function
41 views
3.3 Expanding Log Expressions
32 views
3.2 Graphing Logs With Transformations
38 views
3.2 Basic Properties
27 views
3.2 Evaluating Log Expressions
40 views
3.2 Changing From Log To Exponential Form And Back
Writing Equations For Absolute Value Graphs
Transformations On Absolute Value
Absolute Value Inequalities
49 views
1.4 Solving Absolute Value Equations
Rational Exponents
Graphing Simple Rational Functions
45 views
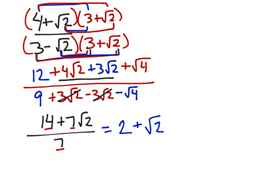
5.6 Operations On Radicals
54 views
5.5 Simplifying Radicals
33 views
Synthetic Division
Polynomial Long Division
36 views
Solving Quadratic Equations By Graphing
Graphing Quadratics 6.1
51 views
Writing Polynomials With Given Zeros