14 views
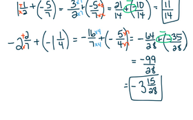
Subtracting Rational Expressions
by Jessica Shaw
21 views
Adding Rational Expressions
24 views
Dividing Rational Expressions 2
25 views
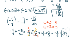
Dividing Rational Expressions
30 views
Multiplying Rational Expressions
23 views
Simplifying Rational Expressions 3
Simplifying Rational Expressions 2
38 views
Simplifying Rational Expressions
26 views
Equivalent Expressions 2
28 views
Non-Permissible Values
Equivalent Expressions
2 views
Using The Order Of Operations With Fractions
3 views
Solving Problems Using The Order Of Operations
1 view
Using The Order Of Operations With Decimals
9 views
Dividing Rational Numbers
Multiplying Fractions
34 views
Multiplying Decimals
Subtracting Rational Numbers - Fractions
Adding Rational Numbers - Fractions
40 views
Ordering Rational Numbers
95 views
Rational Numbers Between Given
88 views
What Is A Rational Number?
91 views
Difference Of Squares
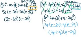
Factoring Trinomials With Two Variables