6 views
4.3 Function Decomposition
by Jessica Lorello
5 views
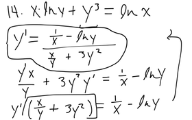
3.7 Implicit Functions
2 views
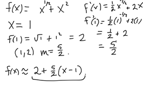
3.9 Linear Approximation
0 views
3.10 Theorems About Differentiable Functions
7 views
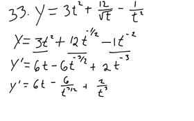
3.1 Powers and Polynomials
3.2 & 3.5 Exponential and Trigonometric Functions
3.3 The Product & Quotient Rules
10 views
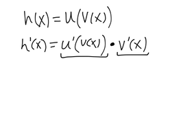
3.4 The Chain Rule
2.6 Differentiability
2.5 Problems and Exercises
2.5 The Second Derivative
9 views
2.4 Interpretations of the Derivative
2.2 Problems and Exercises
18 views
2.3 The Derivative Function
22 views
2.2 The Derivative At A Point