52 views
Exponential Equations In Quadratic Form 2
by Sue Francis
65 views
Exponential Equation in Quadratic Form
57 views
Exponential Equation With e
46 views
Exponential Property Of Equality
51 views
Solving Exponential Equations 3
Solve Exponential Equations 2
54 views
Solve Exponential Equations
Simplifying Exponential Expressions 2
82 views
Simplifying Exponential Expressions
17 views
Quadratics with Discriminant
26 views
Sketching a Quadratic Function In Factor Form
11 views
Finding a Composite Area of a Sector and Triangle
0 views
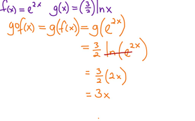
Composite Functions With Logs and Exponential Functions
40 views
Sketch A Log Function
27 views
Writing an Equation for a Log Function
16 views
Writing an Equation of a Sine Curve
73 views
Evaluating Logarithms
Log Equation Q2
34 views
Writing An Equation for a Sine Function
49 views
Solving Trig Equations (Q2)
Solving Trig Equations
Trig Ratios Type 3
Trig Ratios Type 2 (Q 2)
Trig Ratios Type 2