14 views
Chain Rule 3
by William Stafford
18 views
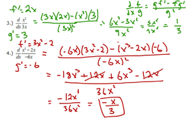
Chain Rule 2
23 views
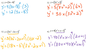
Chain Rule Part One
10 views
Trig Part Three
12 views
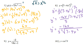
Product Quotient Pt 1
Product Quotient 2
0 views
Trig Tangent Lines
36 views
Trig Derivatives Two
Trig One
16 views
Stage 5 Quadrants PC.L.3
Stage 3 Arc Length Pt 2
Stage 3 Arc Length PC.l.2 Pt 1
7 views
Stage 1 Conversions 2
20 views
Stage 1 Conversions PC.l.1
5 views
Tangent Line Three
6 views
Tangent Lines Three
Tangent Lines Two
22 views
Tangent Line One
11 views
Polynomial a Five
Polynomial Practice 4
Polynomial Three
4 views
Red
Polynomials part Two
Polynomial One