2 views
Grafisk Løsning 2
by Ida Friestad Pedersen
7 views
Grafisk Avlesning 2
6 views
Grafisk Avlesning 1
50 views
Ettpunktsformelen
29 views
Ulikhet 2
24 views
Ulikhet 1
9 views
Likning
1 view
Formelregning 2
Formelregning 1
17 views
Trekke Sammen Rasjonale Uttrykk
27 views
Faktorisering Og Forkorting 1
5 views
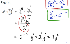
Potenser 4
266 views
Potenser 3
13 views
Potenser 2
Potenser 1
0 views
Vinkler I Innskrevet Trekant
Sirkelsektor
Vinkler I Innskrenket Trekant
Kule
Kjegler
3 views
Skeivt Prisme
Trigonometri 2 -trappes