32 views
Inequalities
by Nicole Watson
18 views
3 Ways To Solve Systems Of Equations
Radical Review Sheet Part II
36 views
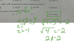
Question 10-14 Radical Review
26 views
Question 6-9 Radicals Review
33 views
Radical Review Question 1-5
17 views
Evaluating Piece Wise Functions
11 views
Simplifying Radicals With And Without Variables
6 views
Supp. Angles, Exterior Angles, Etc.
Complementary, Supplementary, Alt. Int. Angles, Vertical Angles
Graphing Piece wise Functions
Solving Equations With Variables On Both Sides
Sketch The Graph Of A Line In y=mx+b Form
15 views
Functions
16 views
Laws Of Exponents Quiz Help
Multiplying With The Laws Of Exponent
FOIL Method
13 views
Factoring Polynomials When a=1
Factoring Polynomials By Grouping
7 views
LCM Word Problem
LCM
80 views
Multiplying Numbers
60 views
Dividing Decimals
31 views