2 views
solving equations with variables on both sides
by Matt Poisel
0 views
4 views
percent of increase or deacrease
3 views
Add, Subtract, Multiply, and Divide Fractions
Sqare Roots
Two Step Equation
5 views
How To Solve Equations With Fractions
1 view
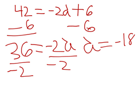
Equations with variables on both sides
percent story problems
Solving Multi Step Equations
Absolute Value Equations
Combining Like Terms
Solving One Step Equations
Writing expressions from story problems
2 Step Equations
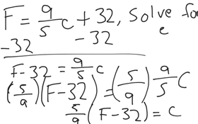
Solving For A Variable
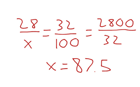
How To Solve Proportions
Percent Increase or Decrease
13 views
Simplifying Exponents
1-step Equations
Das Math
Solving Easy Proportions Cross Products Without Distributive Properties