13 views
5.3 DEFINITE INTEGRALS + ANTIDERIVATIVES
by Jessica Jenkins
20 views
SOLVING QUADRATIC EQUATIONS
58 views
COMPLEX NUMBERS
88 views
COMPLETING THE SQUARE & VERTEX FORM
19 views
PROPERTIES OF PARABOLAS
38 views
Radian Measure
37 views
Angles and the Unit Circle
35 views
CIRCULAR ARCS & SECTORS
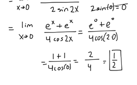
INTEGRATION BY PARTS & L'HOPITAL'S RULE
171 views
GEOMETRIC SERIES
116 views
ARITHMETIC SERIES
190 views
GEOMETRIC SEQUENCES
151 views
ARITHMETIC SEQUENCES
126 views
NORMAL DISTRIBUTIONS
123 views
WORKING WITH SAMPLES
STANDARD DEVIATION
86 views
THE COSINE FUNCTION
134 views
THE SINE FUNCTION
72 views
ANGLE MEASURES AND SEGMENT LENGTHS
127 views
INSCRIBED ANGLES
CHORDS AND ARCS
100 views
TANGENT LINES
69 views
CIRCLES
232 views
PARABOLAS