128 views
1.4 Angle Definitions And Angle Pair Relationships
by Diedre Downing
11 views
How To Make A Segmented Bar Chart
5 views
How To Create A Contingency Table
How To Make A Pie Chart
7 views
How To Make A Bar Chart
9 views
How To Make A Frequency Table
69 views
1.1 Drawing And Labeling The Foundations Of Geometry
1 view
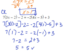
Solving Equations Gateway 4
Solving Equations Gateway 3
Solving Equations Gateway 2
Solving Equations Gateway 1