27 views
1.2.2.3 Example
by Matt Lewis
59 views
1.2.2.2 Example
82 views
1.2.2.1 Example
104 views
1.1.4 Example - Writing Augmented Matrix
109 views
1.1.2 Theorem - Solutions To Linear Systems
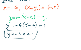
Eq Of Line Tangent To Poly
19 views
Istantaneous Rate Of Change Of Profit Function
22 views
Find Avg Rate OF Change For PRofit Poly
28 views
Marginal Profit Given Function
31 views
Equation Of Line Tangent To Log
42 views
Eq Of Tangent Line For Exp
Derivative Of Log With Chain
56 views
First Derivative Of Product Of Poly And Exp
37 views
First Derivative Of Chain In Product
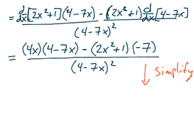
First derivative Of Rational Function
45 views
Derivative Of Cubed Root Of Polynomial
33 views
First Derivative of A Polynomial