2 views
Lesson 8-5: Addition & Subtraction Expressions
by Andy Leve
3 views
Lesson 8-3: Simplifying Expressions
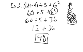
Lesson 8-2: Order of Operations (with Exponents)
10 views
Order of Operations
4 views
Lesson 7-2: Estimating Decimal Quotients
12 views
Lesson 7-6: Dividing a Decimal by a Decimal
Lesson 7-5: Dividing a Whole Number by a Decimal
Lesson 7-4: Dividing a Decimal by a Whole Number
8 views
Dividing By 10, 100, or 1000