53 views
Dividing A Unit Fraction By A Whole Number Using Model
by Nicki Lindner
56 views
Multiplying Multiple Mixed Numbers And Fractions
51 views
Equivalent Fractions And Simplifying
52 views
Multiples And Least Common Denominator
55 views
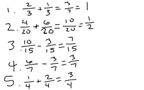
Adding And Subtracting Fractions W/ Like Denominators
19 views
Tone in Literature
61 views
Fractions as Division
Figurative Language
86 views
Dividing Multi-Digit Whole Numbers
90 views
Theme
99 views
Rounding Decimals
116 views
Adding And Subtracting Decimals
3 views
Converting Metric Units
4 views
Volume Of Composite Rectangular Prisms
6 views
Volume of Rectangular Prisms
1 view
Point Of View
Classifying Quadrilaterals
32 views
Classifying Triangles
70 views
Adding Fractions With Unlike Denominators