228 views
Fick's Law & Rate Of Gas Diffusion
by Kim Fischer
212 views
Dalton's & Boyle's Laws
196 views
Respiratory Anatomy/Ventilation & Diffusion Of O2/CO2
122 views
Determining Resting Energy Expenditure
226 views
Water And Electrolyte Balance - ADH/Aldosterone
255 views
Hormone Regulation Of Carbohydrate Metabolism During Exercise
476 views
Central And Peripheral Nervous Systems
492 views
Anatomy Of A Neuron Or Nerve Cell
258 views
Oxidative Metabolism
165 views
Understanding METS-Metabolic Equivalents
70 views
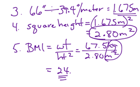
Calculating BMI From Weight & Height
124 views
Total Energy Expenditure Per Day-How To Calculate
109 views
Exercise Prescription For Cardio Intensity
68 views
Calculating Caloric Intake From Common Sandwich
Determining Target Body Weight
127 views
Muscles Of The Ankle/foot/toes
125 views
Anatomy and Physiology of the Urinary System
98 views
Muscles Of The Knee
297 views
Types Of Skeletal Muscle Fibers
181 views
Muscles Of The Hip Joint
29 views
Specific Resistance Or Adaptive Immunity
34 views
Nonspecific Resistance = Innate Immunity
71 views
Anatomy Of The Lymphatic System
146 views
Muscles Of The Wrist And Hand