22 views
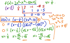
3.3 Rational Zeros Theorem
by Jocelyn Baker
14 views
8.2 Unit Circle And Reciprocal Trig Functions
8 views
8.1 Trigonometric Ratios And Inverses
TSW 4 Long Division Of Polynomial a
0 views
Practice
3.2 Factor Theorem And Finding Zeros
6 views
3.2 Remainder Theorem And Synthetic Division
13 views
3.1 Graphing Zeros And End Behavior Of Polynomial
15 views
3.1 Polynomial Functions And Their Graphs End Behavior
12 views
5.6 Log Functions And Their Behavior
5.5 Logarithms
Eulers Number And Exponential Functions
27 views
Rational Functions
18 views
2.8 Inverses
9 views
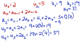
5.1 Recursive Functions
2.7 Combining Functions
24 views
2.7 Combing Functions And Domain
2.4 Transformations And Reciprocals
10 views
2.3 Operation On Functions Video 2
2.3 Operations With Functions Composites Combinations And Domain
2.5 Quadratics 2
21 views
2.5 TSW 1 Quadratic Functions
34 views
2.4 Skills Practice