82 views
Class dojo In Math
by Romain Bertrand
530 views
Unit 5 Study Guide Algebra Foundations
361 views
Simplifying With Distributive And Combining Like Terms
193 views
SOLVE Multi-Step Word Problems
246 views
Step Up SOLVE Intro
651 views
Writing Algebraic Expressions
363 views
Re-teach Evaluating Algebraic Expressions
259 views
Percent Review
507 views
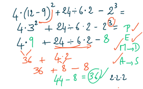
Order Of Operations Practice
161 views
Ratio Review
354 views
Order Of Operations Day 1
466 views
Extra Practice: Percent Of A Number
203 views
Study guide Learn check 8
503 views
Proportions word problems
481 views
Solving Proportions Skills
236 views
Flipped Lesson: Ratio Basics
338 views
Study Guide For Learn Check 6
227 views
Flipped Lesson Plotting Points Day 2
0 views
Additional practice plotting points
177 views
Additional Practice Plotting Points
260 views
Flipped Lesson Plotting Points
495 views
Compare Rational Part 3
174 views
Comparing Rational Numbers Part 2
283 views
Comparing Rational Numbers Part 1