126 views
EYM.CALORIMETRIA
by Honorio Sanchez
104 views
E Y M.II LEY CON FRICCIÓN
116 views
EyM.II LEY NEWTON(mesa-fricción)
72 views
E Y M.II LEY DINÁMICA (3 Cuerpos)
160 views
EyM.II LEY.ESTÁTICA
90 views
EyM.2da.ley De Newton
178 views
EyM. Segunda Ley Newton
182 views
EyM. Tiro-parabólico
238 views
EM. TIRO PARABÓLICO
136 views
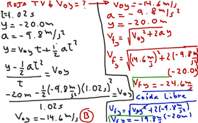
EM. Caída Libre Y Tiro Vertical
188 views
EM.Tiro-horizontal
69 views
EyM. Prob1 Parcial
83 views
EM.2
112 views
EM.I CINEMÁTICA