73 views
Chemistry Sec 11.2 Double-Replacement And Combustion
by Aaron Hays
59 views
Chemistry Sec 11.2 Single Replacement
95 views
Chemistry Sec 11.2 Combination And Decomposition Reactions
171 views
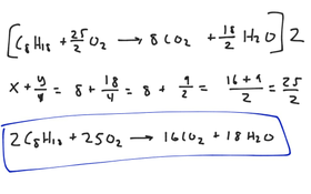
Chemistry Sec 11.1 Balancing Chemical Equations
220 views
Chemistry Sec 11.1 Introduction To Chemical Equations
Chemistry Sec 10.2 Mole-Volume Relationship
17 views
Chemistry Sec 10.1 Mole-Mass Relationship
67 views
Chemistry Sec 10.1 Molar Mass
60 views
Chemistry Sec 10.1 What Is A Mole
200 views
Chemistry Sec 9.4 Naming And Writing Formulas For Acids And Bases
94 views
Chemistry Sec 9.1 Monatomic Anions
63 views
Chemistry Sec 9.3 Naming And Writing Molecular Formulas
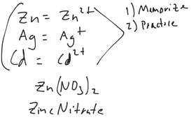
Chemistry Sec 9.2 Naming And Writing Formulas
56 views
Chemistry Sec 9.1 Polyatomic Anions
47 views
Chemistry Sec 8.4 Attractions Between Molecules
55 views
Chemistry Sec 8.4 Bond Polarity
Chemistry Sec 8.3 Hybrid Orbitals
49 views
Chemistry Sec 8.3 VSEPR Theory
Chemistry Sec 8.3 Molecular Orbitals
52 views
Chemistry Sec 8.2 Dissociation Energies And Resonance
40 views
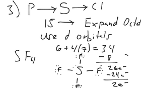
Chemistry Sec 8.2 Exceptions To The Octet Rule
58 views
Chemistry Sec 8.2 Double And Triple Bonds
89 views
Chemistry Sec 8.1 Molecular Compounds
Section 8.2 The Octet Rule In Covalent Bonding