0 views
Pow
by Stacey Motley
Magic Revealed
Neveras Necklace
Toilet Talkers
What 3
Kirby Killer Part I
I Love Ca
Bye Hi
Doll Books
Do Not Defeat Landia
Kirby Return To Dream Land Final Battle Video
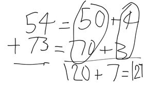
Expanded Method
Baby Owl Meets Snake
The Cute Eye
More Ca
Ca
Peyton
BIG BUSHY MUSTACHE
Whaaat
We Peeled The Paper
Toilets Are Dumb
Chalky
Pencils