9 views
Graphing Linear Inequalities
by Charlette Goodwiler
0 views
Making A Table
Graphing Equations From An Equation
Writing An Equation From A Table
4 views
Writing Equations From A Table
3 views
Graphing From An Equation
Finding Intercepts From Equations
5 views
Plumbing Problem
Finding Intercepts From A Table And Equation
2 views
Finding Intercepts From An Equation
Intercepts From A Graph And Table
Mosaics
1 view
Finding Intercepts From A Graph
Slope From An Equation And Special Cases
Slope From An Equation And Special Lines
10 views
Benjamin's Trucks
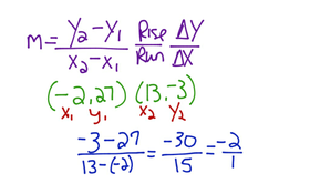
Finding Slope From 2 Points
Slope From Two Points
17 views
Slope From A Graph
Special Cases