11 views
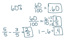
Finding Unstated Information In Fraction Problems
by Lynnette Hansen
Writing Fractions As Decimals
8 views
Writing Fractions From Decimals With Whole Numbers
13 views
Greatest Common Factor
6 views
Multiplying 3 Fractions
24 views
Exponents And Powers
14 views
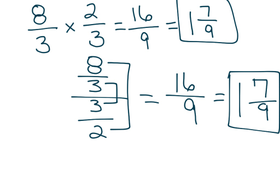
Reducing Before Multiplying
10 views
Supplementary Angles
Complementary Angles
Lengths Of Segments
12 views
Dividing Mixed Numbers
9 views
Changing Improper Fractions To Whole Or Mixed Numbers
7 views
Using Prime Factorization To Reduce Fractions
30 views
Multiplying Mixed Numbers
Subtracting Numbers With Regrouping
20 views
Writing Mixed Numbers As Improper Fractions
63 views
Linear, Exponential, And Quadratic Models Review
Adding 3 Or More Fractions
Writing Cents Correctly
Add Mixed Numbers
36 views
Comparing Fractions Trick
Subtracting A Fraction From A Whole Number Greater Than 1
15 views
Using Letter To Identify Geometric Figures
4 views
Basic Theoretical Probability