35 views
Adding Multi-digit Numbers And Money
by Lynnette Hansen
70 views
Flipped Classroom
77 views
30-60-90 Special Right Triangles
84 views
45-45-90 Special Right Triangles
63 views
Work-Rate Problem
69 views
Solving Rational Equations By Factoring
65 views
Solving Rational Equations
75 views
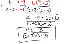
Add & Subtract Rational Expressions W/Unlike Denominators
74 views
Add & Subtract Rational Expressions W/Like Denominators
58 views
Midpoint Formula
30 views
Distance Formula
Dividing Rational Expressions
78 views
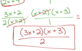
Multiplying Rational Expressions
86 views
Basic Square Roots
76 views
Simplifying A Rational Expression 2
83 views
Simplifying A Rational Expression 1
29 views
Volume Of A Sphere
Volume Of A Pyramid
33 views
Volume Of A Cone
102 views
Angle Of Depression
109 views
Angle Of Elevation
0 views
Trigonometric Ratios
104 views
41 views
Volume Of A Cylinder