0 views
Water Clycl
by Peter Panico
teaching equalvalent fractions
1 view
Mult Area
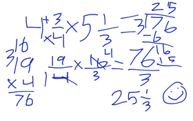
Multiplying Mixed Numbers